先做个广告:如需代注册ChatGPT或充值 GPT5会员(plus),请添加站长微信:gptchongzhi
转载自 | PaperWeekly
推荐使用GPT中文版,国内可直接访问:https://ai.gpt86.top
要说 2023 刷屏最多的词条,ChatGPT 可以说是无出其右。到最近的 GPT-4,技术的革新俨然已呈现破圈之势,从学术圈到工业界再到资本圈,同时也真切逐步影响到普通人的日常生活与工作。
坦白来讲,对于大语言模型生成相关的工作,个人长期以来持保守态度,认为这个方向更多的是一种深度学习的理想追求。现在看小丑竟是我自己,也许优秀的工作正是需要对理想状态的持续追求,才叫优秀的工作。
言归正传,本系列打算跟风讨论一下关于 ChatGPT 相关技术,主要内容分为三部分,也会分为三篇文章:
1. 经典论文精读【this】:通过本文阅读可以了解 ChatGPT 相关经典工作的大致思路以及各个时期的关键结论;
2. 开源实现技术【soon】:总结最近几个月开源工作者们follow ChatGPT的主要方向和方法;
3. 自然语言生成任务的前世今生和未来【later】:大语言模型之外,谈谈自然语言生成的“传统”研究方向与未来畅想。
因为相关技术发展迅速,三部分内容也会定期更新。本文主要为第一部分经典论文学习,而相关的工作众多(如图),一一阅读并不现实,因此本文选择持续性最高的 OpenAI 系列和 Google 系列,以及近期影响力比较大的 LLaMA,最后是中文适配比较好的 GLM 和 ChatGLM。
▲ 10B以上大模型(黄色为开源)
此外,本文阅读需要一定的 NLP 基础概念,比如知道什么是 BERT 和 Transformer、什么是 Encoder-Decoder 架构、什么是预训练和微调,什么是语言模型等。
OpenAI 系列
本节目标是通过 OpenAI 系列论文阅读细窥 ChatGPT 的主要原理,其先进的工作脉络可以概括为下图。从依赖往上追溯需要了解 Codex 和 instructGPT、再往上是 GPT-3、继而也需要了解 GPT-2 和 GPT-1。(GPT-4 暂时简单地看作是 Plus 版本的 GPT-3.5,而且增加了多模态数据的处理能力,等更多的细节公开后再作讨论)。
1.1 GPT-1
论文题目:
Improving Language Understanding by Generative Pre-Training
论文链接:
https://www.cs.ubc.ca/~amuham01/LING530/papers/radford2018improving.pdf
1.1.1 动机
任务目标和 BERT 一致(但在 BERT 之前),希望通过大规模无标注数据进行预训练,下游任务微调的方式解决经典 NLP 任务,缓解有监督任务数据收集成本高的问题。GPT-1 虽然不是第一个使用预训练-微调架构的工作,但也是使用 Transformer-Decoder 做相关任务的很早期工作了。
1.1.2 方案概述
模型结构:Transformer 的 Decoder 部分
训练方法:自回归的生成方式进行语言模型预训练,判别式的结构进行下游任务微调。
1.1.3 一些细节
预训练:
Loss:经典的语言模型训练目标,将无标注的样本库表示为 token 序列集合 U = {u_1, ...., u_n},最大化下面的似然估计。即通过一段话的前面的 token,预测下一个 token,其中 k 为上下文窗口。
模型:使用多层 Transformer decoder 建模 P,简化的公式表达如下。W_e 为 token embedding 矩阵,W_p为位置向量矩阵,通过多层 transformer block,最后每个 token 通过 transformer block 成为编码后的向量 h_n,最后经过一个线性层 + softmax,即为下一个 token 的预测分布。
数据:早期数据并没有非常夸张,GPT-1 的主要数据有两个:
BooksCorpus dataset:包括 7000 多本未发表的书籍;
1B Word Benchmark(可选)。
微调:
模型改动:通过增加特殊 token 作为输入的开始 [Start] 和结束 [Extract] 等,以结束 [Extract] 的隐层输出接入全连接层,并进行下游的分类和其他变种任务。如图所示:
loss:
小细节:微调过程中,在下游任务目标基础上,加入预训练目标,效果更好。
1.1.4 结果与讨论
主要验证方法:文章主要是通过下游任务的效果进行策略的有效性验证,通过一些经典任务数据集。结论来看,在不少数据集上都还有着不错的效果,以分类为主的数据集为例,如图所示。可以看到,这时的对比项还没有 BERT 的踪影。
1.2 GPT-2
论文标题:
Language Models are Unsupervised Multitask Learners
论文链接:
https://d4mucfpksywv.cloudfront.net/better-language-models/language-models.pdf
1.2.1 动机
GPT-1 之后不久,BERT 出现,刷榜各种任务。GPT-1 尝试增加模型大小,但在预训练+微调的训练框架下,仍打不过同参数大小的 BERT;但研究还得继续,尝试换个打法,以 Zero-Shot 作为卖点,效果不错。
1.2.2 方案概述
GPT-2 实现 Zero-Shot 的方法在现在看来比较简单:将所有的 NLP 任务统一看作是 p(output|input)的建模,而如果统使用一个足够容量的模型实现,还要告诉模型需要完成什么任务,这时建模目标可以表达为 p(output|input, task)。
对于统一大模型的选择,网络结构与 GPT-1 相同,使用方式也很自然:task 和 input 均使用自然语言的方式作为输入交给 GPT,模型继续一步步地预测下一个最大可能的 token,直到结束。如翻译任务:模型输入“翻译中文到英文,原文‘我爱深度学习’”,模型输出 “I love deep learning.”。又如阅读理解任务,模型输入“回答问题,内容‘xxx’, 问题‘xxx?’”,模型输出问题的答案。
没错,就是早期的 Prompting 方法(其实也不是最早的)。这么做的依据则是考虑到训练数据集里有大量的 Prompt 结构的语料,可以使模型学到遇到类似的提示语后需要生成什么。
1.2.3 一些细节
训练数据:为了支持多任务的 Zero-Shot,需要模型尽可能看更多,尽可能丰富的数据,数据收集的目标也是如此。要点如下:
开源 Common Crawl,全网网页数据,数据集量大,且足够丰富,但存在质量问题,故而没有直接使用;
自建了 WebText 数据集,网页数据,主打一个干净高质量:只保留被人过滤过的网页,但人过滤成本很高,这里的方法是只要 Reddit 平台(类似国内的贴吧,社交分享平台)中被用户分享的站外链接,同时要求帖子至少 3 个 karma(类似点赞?)。可以认为被分享的往往是人们感兴趣的、有用的或者有意思的内容。
WebText 最终包括 4500w 链接,后处理过程:1、提取网页内容后;2、保留 2017 年以后的内容;3、去重;4、启发式的清理,得到 800w+ 的文档,约 40GB;4、剔除维基百科文档,避免与下游测试数据重叠(因为很多测试任务包括了维基百科数据,话说其他数据没有重叠吗?)。
模型:沿用 GPT 结构,但在模型特征输入编码、权重初始化、词典大小、输入长度、batch size 等方面做了一些调整,主要是升级。
1.2.4 结论与讨论
主要结论:
文章尝试了四种大小的模型,其中 117M 对应了 Bert-base(和 GPT-1),345M 对应和 Bert-large 参数量,最大的模型 1542M(15 亿参数)。
模型的选择使用 WebText 的 5% 作为验证数据,实验发现所有大小的模型仍然是欠拟合状态,随着训练时间的增加,在验证集上的效果仍然可以继续提升。
当然,在大多数 Zero-Shot 任务集合上也如愿取得了当时最好的结果:
次要结论:在多数任务上,模型容量和核心指标的关系,可以发现随着模型容量的增加,效果不断变强。15 亿参数看上去没有达到瓶颈,也就是说继续提升模型容量,效果能到什么程度极具想象力。(也就有了后续 GPT-3 的大力出奇迹)
Children’s Book Test 任务:
Winograd Schema Challenge 任务:
其他 Zero-Shot 任务
语言模型预训练集和验证集的效果(perplexity 困惑度越小越好)
1.3 GPT-3
论文题目:
Language Models are Few-Shot Learners
论文链接:
https://arxiv.org/pdf/2005.14165.pdf
1.3.1 动机
BERT 出来之后,虽然预训练+微调架构取得了惊人的效果(GPT 系列短期比不了了),但这种微调有很多限制:
微调需要更多的领域数据,标注成本高,一些特殊任务更是难上加难(如纠错、写作、问答等)。
微调在小数据量下表现好,很可能只是过拟合。很多任务说是超过人类,实际上是夸大了实际表现(模型并不是根据知识和推理去做任务,并不智能)。
以人类的学习习惯对比,在人类有了足够的知识后(预训练),并不需要再看大量的监督数据才能做任务(对应微调),而只需要看少量样例即可。
文章认为,虽然微调现在效果确实打不过,但追求不微调仍然是值得的。方法嘛,延续 GPT-2 最后的结论,更大的模型、更多的数据、prompt 更多的信息(In-Context learning)。
1.3.2 方案简述
主要与 GPT-2 相比:
沿用 GPT-2 的模型和训练方法,将模型大小升级到 175B(1750 亿的参数量 vs 15亿),这个 175B 的模型叫 GPT-3;
不同于 BERT/GPT-1 模型使用下游任务微调进行效果验证,也不同于 GPT-2 仅仅使用 Zero-Shot 进行验证,GPT-3 主要验证其 In-Context learning 的能力(可能认为是不微调,不梯度更新的方式,看通过 prompt 和几个例子作为输入,来完成具体任务的能力)。
GPT-3 也不是不能微调,以后会做一些工作来看看微调的表现(这里说的也就是后面的 Codex、InstructGPT 和 ChatGPT 等工作了)。
1.3.3 一些细节
模型训练方式:前面提到了,相对 GPT-2 没有创新,就是更大模型、更多更丰富的数据、更长的训练时间,不止于 Zero-Shot,还做 One-Shot 和 Few-Shot 任务(这里的 x-Shot 是不微调模型的,也就是所谓的 In-Context learning,而在预训练阶段没有特殊操作),如图。
模型:沿用了 GPT-2 的结构,在模型初始化、归一化、Tokenization 做了一些优化,另外也“抄”了一些类似 Sparse Transformer 的优点(总之是加了一些同期一些被验证有效的操作,或自己验证有效的小操作)。为了验证模型容量带来的效果,文章训练了多种大小的模型,最大的 175B 的叫 GPT-3。为了训练大模型,还做了一些模型并行和提效的工作(其实这部分也比较重要,但是没有展开说)。模型大小参数,以及同期一些工作的训练资源开销对比如图:
训练数据准备:
文章发现,模型增大之后,引入一些脏数据的负向影响没这么大了。因此,相比于 GPT-2,GPT-3 开始使用 Common Crawl 数据集了,但是做了一些清洗工作:1、保留与高质量数据集类似的内容(使用一些相似或判别的方法);2、去重;
最后把清洗后的 Common Crawl 数据和已有的高质量数据集合并在一起,得到训练数据集,并进行不同权重的采样使用:
模型训练过程:
大模型可以使用更大的 batch size,但是需要小一点的 Learning rate;根据梯度的噪音尺度,动态调整 batch size;为了防止大模型 OOM,使用了全方位的模型并行,微软提供了硬件和软件的支持。
1.3.4 结论与讨论
主要结论:整体效果不错,在各种数据集上做了对比,NLU 相关任务,GPT-3 表现不错(个别数据集还超过了有监督微调的方式);在 QA、翻译、推理等任务上还欠点火候,距离监督微调模型差距明显;生成任务基本可以做到人难分辨。如,几个主要的任务:
SuperGLUE:理解任务为主
Winogrande:推理任务为主
TriviaQA:阅读理解任务为主
次要结论:
从主要结论曲线,可以明显发现,few-shot 比 zero-shot 效果好,模型越大越好(废话),而且 175B 好像也没到极限,模型更大效果可能还会继续上升。
另一个数据显示,模型越大,loss 下降空间越大,当前版本最大的模型,仍然没有收敛(黄色曲线);另一个不乐观的趋势是随着 Loss 的逐步降低,算力的 ROI(投入产出比)也在逐渐降低。
因为模型生成效果真假难辨,文章也着重讨论了模型的偏见、不道德以及不当用途的问题,因此也决定不开源(OpenAI 走上 CloseAI 之路)!
1.4 Codex
论文题目:
Evaluating Large Language Models Trained on Code
论文链接:
https://arxiv.org/pdf/2107.03374.pdf
1.4.1 动机
GPT-3 论文里提到,GPT 可以微调但放在未来搞,Codex 就是微调工作之一。任务是 GPT 模型在代码生成方向做微调的探索,算是一个应用方向的论文。
1.4.2 方案简述
具体地,Codex 是利用代码注释生成代码。训练数据从 github 上获取,主要为 python 语言。为了验证模型效果,Codex 做了一个新的数据集(164 个原始代码问题,可以认为一些经典的 leetcode 题、面试题),通过单元测试的方式验证生成代码的正确性。
最终 Codex 可以取得 28% 的测试通过率(GPT-3 只能解决 0%);如果允许重复采样生成多个结果,选择 100 个,可以达到 70% 的通过率(想想自己能通过多少)。经过一些 rerank 策略,通过率直逼 80%。
1.4.3 一些细节
验证集准备:因为之前没有现成的评测代码生成的验证集,文章自己设计了一个 HumanEval。并使用 pass@k 作为评测指标(生成 k 个结果中有一个能通过就算通过,然后算通过率)。考虑生成代码的安全性不可控,需要使用一个 sandbox 环境运行(崩了也没事)。HumanEval 的样例数据如下,包括代码注释和标准答案:
训练数据:截止到 2020 年 5 月,涉及 540 万的 Github 仓库,包括 179GB 的 Python 文件,文件大小小于 1MB。做了一些过滤,主要过滤项是自动生成的代码、平均行长度大于 100、最大行长度大于 1000、包含一定比例数字等。最后数据集大小 159GB。
模型:考虑生成任务,利用GPT系列的预训练模型应该会有好处,选择了 13B 的 GPT 模型作为主模型,进行微调。值得一提的是,利用预训练的 GPT 微调并不优于使用代码数据从头训练(应该是因为数据量已经足够大了),但是使用微调收敛更快。模型细节:
参数配置和 GPT-3 差不多;基于代码数据特点,做了特别的 tokenizer,最终少了 30% 的 token;sample 数据时使用特别的停止符('\nclass'、'\ndef' 等),保证 sample 代码的完整性;
1.4.4 结论与讨论
主要结论:
不同的参数调整,和采样数量,显著影响生成代码的通过率。
如果只选一个答案,使用一些模型输出指标,如最大 mean log-probability,可以比随机选择效果更好;用借助先验知识的单元测试进行代码选择,可以取得理论上的最好效果(Oracle)。
次要结论:因为效果还可以,趋势上看模型更大看上去效果还会提升,文章最后讨论了一下对于机器会写代码的担忧(自我优化最可怕);另外代码中也不出意外的有歧视、道德的偏见。(这个大概源自代码里也有人口吐芬芳,代码命名带 Fxxk,有人的地方就有偏见)。
1.5 InstructGPT
论文题目:
Training language models to follow instructions with human feedback
论文链接:
https://arxiv.org/pdf/2203.02155.pdf
1.5.1 动机
GPT 的另一种微调探索,使用用户指令和偏好答案来微调 GPT 模型,让模型生成的内容更符合用户的意图,更真实、更有用(Alignment,对齐过程)。这么做的出发点是面向一种经典的应用场景,用户给一条指令声明意图,期望模型生成有用、无害的内容,但使用大量网页数据训练的大语言模型 GPT 无法直接满足这种诉求,因此需要微调。
1.5.2 方案简述
指令微调的过程分为三步(RLHF,Reinforcement Learning from Human Feedback),如下图:
1、准备一批prompt(来源标注人员手写、OpenAI API 请求);对于这批 prompt,标注人员手写期望的答案,用这份 prompt+answer 数据微调 GPT-3 生成模型,这里叫做 supervised policy;
2、使用微调后的模型,根据更多的 prompt 生成答案(一次 prompt 多次采样生成个答案),这时外包只要标注生成内容的相对顺序即可;用这份标注数据训练一个 reward 模型(RM 模型),输入 prompt 和 answer,模型输出一个打分(这里同样是使用 GPT 模型)。
3、采样更多的 prompt,使用强化学习的方式,继续训练生成模型,强化学习的 reward 使用第 2 步的模型打分。
第 2 和 3 步是一个持续迭代的过程,即,第 3 步训练出的更好的生成模型(policy)可以用来收集更多具有相对顺序标签的数据,这些数据则用来训练新的 RM 模型(即步骤 2),继而再训练新的生成模型(对应步骤 3)。大多数的相对顺序标注数据来自于步骤 1,一部分来自于步骤 2 和 3 的迭代。
此外这篇文章并不是第一个使用该方法的工作,前面还有一篇《Learning to summarize from human feedback》,使用类似三步方法做摘要任务。同样是 OpenAI 的工作,体现了工作的持续性,而非一蹴而就,灵感也不是说有就有。
1.5.3 一些细节
数据收集过程
冷启动阶段:通过部分人工标注的 prompt+answer 数据,监督训练得到的早期版本 InstructGPT;丰富阶段:部署试用版本在线服务,收集更多更丰富的真实用户 prompt。本工作并未使用线上正式环境的服务用户数据,试用版本的数据将用于数据标注和模型训练,也提前告知了用户;
收集到的 prompt 根据最长公共前缀做了去重;
每个用户最多 200 条 prompt,避免模型迎合个别用户偏好;训练集、验证集和测试集,不包括相同用户(强调用户维度的泛化能力);
过滤 prompt 中与个人身份相关的信息,同样是避免模型学到用户特征;
早期版本 InstructGPT 的训练数据是由外包手写的 prompt 和答案,冷启 prompt 包括 3 类:1、任意常见任务问题,追求任务的丰富性;2、同一类 prompt 写多个 query 和答案;3、模仿真实用户的 prompt 请求;
经过上面的操作,得到三类数据:1、SFT dataset,训练集 13k prompts (来自于 API 和标注人员手写),用来训练 SFT 模型;2、RM 数据集,训练集33k prompts(来自于 API 和标注人员手写),人工标注生成模型输出答案的排序,用来训练 RM 模型;3、PPO数据集,31k prompts(仅来自于 API),不需要人工标注,用来做 RLHF fine-tuning。
prompt 特点:
真实用户的 prompt 指令类型分布和样例如图,96% 的是英文,但结果发现对其他语言也有泛化能力。
数据标注细节(也很关键,值得参考):
一个外包标注团队,由 40 个承包商组成,应该是为了提升标注多样性,防止模型对标注员风格敏感;
对标注人员进行了测试(考试,性格测试),筛选目标是留下那些队不同群体敏感(宗教、性取向、种族等)、能识别潜在有害内容的标注人员;
要求标注人员能够准确判断用户意图,对于模糊意图进行跳过;考虑隐含意图,对于一些潜在、诱导性的脏话、偏见、虚假信息能够识别;
训练和验证阶段的意图对齐(alignment)有些许冲突:训练阶段强调生成内容的有用性(helpfulness),验证阶段则关注内容的真实性(truthfulness)和是否有害(harmlessness);
标注过程,算法开发和标注人员紧密沟通,为了做到这点,对外包标注人员做了一个入职流程(可能要交社保=_=);
为了测试模型对标注人员的泛化能力,留了一部分测试用的标注人员(held-out labelers,真工具人,严谨了),这些标注人员产出的数据不用于训练,而且这些人员没有经过性格测试;
尽管标注任务难度大,但标注人员的标注一致性还可以,训练标注人员标注一致性 72.6 ± 1.5%,测试标注人员一致性 77.3 ± 1.3%。
模型实现:同训练过程,包括三部分
Supervised fine-tuning(SFT):使用标注人员标注的数据,有监督的微调 GPT 模型,训了 16 个 epoch, 学习率 cosine decay。模型的选择使用验证集上的 RM 模型 score(鸡生蛋蛋生鸡)。值得一提的是,这里 SFT 模型在验证集上 1 个 epoch 后就 overfit 了,但是继续更多的 epoch 有利于 RM score 和人的偏好。
Reward modeling(RM):
模型:同样是 SFT GPT 模型结构,不过是另外训练了一个 6B 的(175B 不稳定,不适合下面的 RL 训练),输入是 prompt 和生成的内容,pooling 后接一个全连接(也许有)输出一个 scalar reward 分。
Loss 函数表示为:
K 为是一个 prompt 模型生成的答案数,标注人员对 K 个模型进行排序;K 为 4-9,标 9 个和 4 个成本差不多;
需要一个 bias 对 reward 进行归一,使其均值为 0,方便下游 RL 使用(这里的 bias 可以是 reword 均值,也是 RL 的常规操作);
Reinforcement learning(RL),两个实验模型:
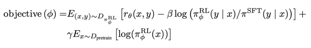
‘PPO’ 模型:直接使用经典的 PPO 算法,一种 offline 的 RL 算法,目标是最大化模型反馈的 reward,同时兼顾 online 模型和 offline 模型的 KL 散度(这里 offline 模型是 SFT 模型,online 模型是要优化的目标模型,online 模型参数会定期同步到 offline 模型。如果不熟悉 RL 可以简单了解其目标即可);模型输出的 reward,由 RM 打分得到;
‘PPO-ptx’ 模型:PPO+ 预训练目标(加这个目标,被验证可以兼顾公开 NLP 任务的效果),最终的优化目标,最大化:
验证方法:评价模型两方面的能力,1、生成的答案人是不是喜欢;2、经典的 NLP 任务解决的怎么样。
在 API 请求的 prompt 验证效果:
真实分布下采样 prompt 做测试集;
175B 的 SFT GPT-3 模型作为 Baseline;
标注人员对各个模型生成的内容打出 1-7 分的喜欢/认可度;
认可度的依据是 helpful、honest 和 harmless,每个维度又有很多细则。
在开源的 NLP 数据集,包括两类:
评测安全性、真实性、有害和偏见的数据集;
经典 NLP 任务数据集熵 zero-shot 的结果,如阅读理解、问答、摘要等。
1.5.4 结论与讨论
主要结论:
对于通过 API 获得的测试集 prompt,RLHF 显出好于 baseline:
对比友商模型,也不错:
次要结论(InstructGPT 生成内容的白话评价):
标注人员普遍认为 InstructGPT 生成的内容比 GPT-3 强很多;
InstructGPT 模型生成的内容比 GPT-3 事实性更强(出现事实性错误比较少);
InstructGPT 生成的内容在有害性优于 GPT-3,但在偏见方面并没有强很多;
在 RLHF 微调过程中,由于“对齐税”的原因,在开源 NLP 任务表现变差了,但 RLHF 基础上增加语言模型的预训练目标,可以得到兼顾(PPO-ptx)。
InstructGPT 模型在 “held-out” 标注人员上也表现出了不错的泛化性;
公开 NLP 数据集任务上的表现,并不是 InstructGPT 追求的(ChatGPT 才是);
InstructGPT 模型在 RLHF finetuning 数据集分布外的 prompt 同样具有很好的泛化能力;
InstructGPT 生成的内容仍然会出现一些简单的错误;
1.6 ChatGPT
论文没有,官方博客:
https://openai.com/blog/chatgpt
OpenAI没有开放ChatGPT的细节,只有两段大致方法描述,摘要一下包括:
和 InstructGPT 的方法大致相同,只是在数据收集上略有不同。ChatGPT 使用的对话形式的数据,即多轮 prompt 和上下文,InstructGPT 的数据集也转换成对话格式合并一起使用。
训练 RM 模型,使用多个模型生成的结果,随机选择模型生成的内容让标注人员根据内容质量排序,然后借助 RM 模型进行后续的 PPO 微调训练。同样,这也是一个反复迭代的过程。
更多的细节无了,不过从 OpenAI 友商 Anthropic(创始人也来自 OpenAI)的一篇论文能看到更多细节。以 OpenAI 工作的持续性看,从公司跳槽出去的人,应该也是延续了相关的工作。
读 Anthropic 之前,插一段 OpenAI 的系列工作总结,存个档。读了上面的论文,对于这张表的内容应该能够大致理解(参考):
可能确实如一些大佬所说,ChatGPT 没有创新,只是一堆策略的叠加,凑出了一个强大的模型;也有人说 ChatGPT 更多的是工程和算法的结合。不管怎么样,方法是真 work。
Anthropic的Claude
论文题目:
Training a Helpful and Harmless Assistant with Reinforcement Learning from Human Feedback
论文链接:
https://arxiv.org/pdf/2204.05862.pdf
ChatGPT 出来不久,Anthropic 很快推出了 Claude,媒体口径下是 ChatGPT 最有力的竞争者。能这么快的跟进,大概率是同期工作(甚至更早,相关工作论文要早几个月)。Anthropic 是 OpenAI 员工离职创业公司,据说是与 OpenAI 理念不一分道扬镳(也许是不开放、社会责任感?)。
一些内测结论:Claude 相比 ChatGPT 更能避免潜在 harmful 的问题,在代码生成略为逊色,通用 Prompt 不分伯仲。从效果上,可能 ChatGPT 功能性更强,而 Claude 更为“无害”(或者说,对社会的潜在负面影响更小),这点从参考论文的标题也有所体现。
2.1 动机
引入偏好模型和 RLHF(人类反馈强化学习)微调大语言模型(可能因为脱离 OpenAI,不提 GPT-3 了),得到一个 helpful 和 harmless 的个人助理(类似 ChatGPT);这种对齐(Alignment)微调,使预训练的语言模型在几乎所有的 NLP 任务中效果提升显著,并且可以完成特定的任务技能,如 coding、摘要和翻译等。
2.2 方案简述
其实思路和 InstructGPT 差不多,三阶段的 RLHF。不同点在于,1、进行了迭代式的在线模型训练:模型和 RL 策略每周使用新的人工反馈数据更新,不断迭代数据和模型;2、使用对话格式的数据数据;3、更为关注模型的 helpful 和 harmless。
除了模型和策略设计之外,文章重点讨论了 RLHF 的稳定性问题;也对模型校准、目标冲突、OOD(out of distribution)识别等问题做了分析。
目标冲突是指 helpful 和 harmless的目标冲突,因为如果模型对所有问题都回答“不知道”,虽然 harmless,但是完全不 helpful。
2.3 一些细节
对话偏好数据集:
收集了一批 helpfulness and harmlessness 的对话数据集,数据的标注是标注人员和各种 52B 语言模型在对话标注页面交互完成。标注页面如图;
标注人员在交互页面与模型进行开放式对话,或者寻求帮助、或者提出指令、或者引导模型输出有害内容(比如如何成功抢劫)。对于模型输出的多个答案,标注人员需要在每轮对话标注出哪个更有用或哪个更有害;
收集了三份数据,一个来自于初始模型(SFT)、一个来自早期的偏好模型(RM)采样、最后一个来自人工反馈的在线强化学习模型(周更);
开源了三份数据:https://github.com/anthropics/hh-rlhf
数据收集和模型训练流程(中间涉及的概念需要读往期论文,了解即可):
LLaMa与Alpaca
事情发展到现在,有一个小问题,就是模型越来越大,开源越来越少(其实开源了大多数人也玩不了)。首先 GPT-3 系列模型就很大了,训练和 inference 模型都需要大量的显卡;其次,GPT-3 所用的数据也未公开,有算力复现也稍困难,需要自己去盘数据;在 GPT-3 之后的 ChatGPT 的闭源程度更甚,可能要进一步考虑商业利益。
在这样的背景下,前调模型提效以及开放的工作越来越多,近期比较有影响里的当属 Meta AI 的 LLama 和斯坦福基于 LLama 的 Alpaca。前者类似 GPT 的大语言模型,后者类似 ChatGPT。
3.1 LLama
论文题目:
LLaMA: Open and Efficient Foundation Language Models
代码链接:
https://github.com/facebookresearch/llama
3.1.1 动机
大语言模型相关的工作中,过去的普遍假设是模型越大效果越好。但近期有些工作表明,给定计算资源的前提下,最佳的效果不是由最大的模型实现,而是由更多的数据下相对小的模型实现。而后者对于 inference 或微调阶段更为友好,是更好的追求。
相应的,本文的工作是训练一批模型,实现了更好的效果,同时预测成本低。取得这种效果的一大手段,就是让模型看到了更多的 token。训练得到的这些模型就是 LLama。
3.1.2 方案简述
LLama的思想比较简单,在动机里已经大致包括。这项工作的其他特点可以简述为以下几点:
提供了 7B~65B 的模型,13B 的模型效果可超 GPT-3(175B),65B的模型效果直逼谷歌的 PaLM(540B);
训练模型只用了开源数据集,trillions of token。
多项任务上 SOTA,并且开源了所有模型权重。
3.1.3 一些细节
训练数据集(主要是英文,因此中文和中文微调效果堪忧)
模型容量概况
模型结构:
和 GPT 一样,同样是 Transformer Decoder 架构,沿用了各种工作被验证有效的小优化(如:Pre-Normalization、SwiGLU 激活函数、Rotary Embedding、AdamW 优化器等)。同时也做了一些训练效率上的优化,包括模型实现上以及模型并行上的优化。
训练过程:7B 和 13B 的模型在 1T 的 token 上进行训练;33B 和 65B 的模型则在 1.4T 的 token 上进行了训练。
3.1.4 结论与讨论
LLama 对标 GPT,主要在 Zero-Shot 和 Few-Shot 任务上进行了验证;同时考虑指令微调是现在的流行应用之一,因此也在指令微调任务做了验证。
Zero-Shot
Few-Shot
指令微调(主要和谷歌的 Flan 系列做对比):
3.2 Alpaca
文章:
https://crfm.stanford.edu/2023/03/13/alpaca.html
代码:
https://github.com/tatsu-lab/stanford_alpaca
3.2.1 动机
前面可以看到,GPT-3.5、ChatGPT、Claude 以及 Bing Chat 等指令微调模型被验证效果拔群,但仍存在生存内容虚假、带偏见和恶意等问题。为了加快这些问题的解决,需要学术届(穷老师、学生、公司)的加入一起研究,但是 GPT-3.5 这些模型大且闭源。
前阵子 LLama 发布,给了希望。所以基于 LLama 做指令微调得到了 Alpaca 模型,效果和 GPT-3.5 差不多,而且简单、复现成本低。
3.2.2 方案简述
穷人搞指令微调,需要两个前提:1、参数量小且效果好的预训练语言模型;2、高质量的指令训练数据。
这两个前提,现在看上去可以方便满足:1、LLama 模型 7B 模型,可以接受;2、通过现有的强语言模型可以自动生产训练数据(准备 prompt,调用 GPT-3.5 系列的 OpenAI api)。
3.2.3 一些细节
训练方式:使用指令微调的方式,在 LLama 7B 模型上训练;训练数据规模为 5.2 万,来源是对 OpenAI GPT-3.5 API 的调用(花费 500 美元);微调过程在8张 80G A100s 显卡训练 3 小时(使用云计算服务,花费 100 美元)。训练过程如图。
3.2.4 结论和讨论
目前开放了:测试Demo、训练数据集、训练数据的生成过程、训练代码;预训练的权重未来开放(可能考虑一些外因);
Demo: an interactive demo for everyone to try out Alpaca.
Data:52K demonstrationsused to fine-tune Alpaca.
Data generation process: the code forgenerating the data.
Training code: for fine-tuning the model using the Hugging Face API.
未来可能的方向(不包括优化推理能力,也许这些还是要留给有钱人):
模型验证:更加系统严格的对模型进行评估,会从 HELM(Holistic Evaluation of Language Models)开始,检验模型的生成和指令对其能力;
模型的安全性:更全面的评估模型的风险性;
理解模型(可解释):研究模型学到的是什么?基模型的选择有什么学问?增加模型参数带来的是什么?指令数据最关键的是什么?有没有其他的收集数据的方法?
GLM与ChatGLM
LLama 虽好,但更多的是使用英文数据集,但在中文上表现不佳。同样指令微调后在中文场景下上限应该也比较低。因此在中文上,有必要有自己的一条研究方向,当前影响力比较高的开源版本属清华的 GLM 和 ChatGLM。
GLM 和 ChatGLM 相关的介绍比较多,下面摘抄部分内容对其进行简单了解。
4.1 GLM
论文题目:
GLM: General Language Model Pretraining with Autoregressive Blank Infilling
论文链接:
https://arxiv.org/pdf/2103.10360.pdf
论文题目:
GLM-130B: AN OPEN BILINGUAL PRE-TRAINED MODEL
论文链接:
https://arxiv.org/pdf/2210.02414.pdf
4.1.1 方案简述
GLM-130B 是在 GPT-3 之后,清华的大语言模型方向的尝试。不同于 BERT、GPT-3 以及 T5 的架构,GLM-130B 是一个包含多目标函数的自回归预训练模型。
4.1.2 一些细节
GLM-130B 在 2022 年 8 月开放,有一些独特的优势:
双语:同时支持中文和英文。
高精度(英文):在公开的英文自然语言榜单 LAMBADA、MMLU 和 Big-bench-lite 上优于 GPT-3 175B(API: davinci,基座模型)、OPT-175B 和 BLOOM-176B。
高精度(中文):在 7 个零样本 CLUE 数据集和5个零样本 FewCLUE 数据集上明显优于 ERNIE TITAN 3.0 260B 和 YUAN 1.0-245B。
快速推理:首个实现 INT4 量化的千亿模型,支持用一台 4 卡 3090 或 8 卡 2080Ti 服务器进行快速且基本无损推理。
可复现性:所有结果(超过 30 个任务)均可通过我们的开源代码和模型参数复现。
跨平台:支持在国产的海光 DCU、华为昇腾 910 和申威处理器及美国的英伟达芯片上进行训练与推理。
4.2 ChatGLM
文章:
https://chatglm.cn/blog
代码:
https://github.com/THUDM/ChatGLM-6B
4.2.1 方案简介
ChatGLM 参考 ChatGPT 的设计思路,在千亿基座模型 GLM-130B 中注入了代码预训练,通过有监督微调(Supervised Fine-Tuning)等技术实现人类意图对齐。
为与社区一起更好地推动大模型技术的发展,清华同时开源 ChatGLM-6B 模型。ChatGLM-6B 是一个具有 62 亿参数的中英双语语言模型。通过使用与 ChatGLM(http://chatglm.cn)相同的技术,ChatGLM-6B 初具中文问答和对话功能,并支持在单张 2080Ti 上进行推理使用。
4.2.2 一些细节
ChatGLM-6B 有如下特点:
充分的中英双语预训练:ChatGLM-6B 在 1:1 比例的中英语料上训练了 1T 的 token 量,兼具双语能力。
优化的模型架构和大小:吸取 GLM-130B 训练经验,修正了二维 RoPE 位置编码实现,使用传统 FFN 结构。6B(62亿)的参数大小,也使得研究者和个人开发者自己微调和部署 ChatGLM-6B 成为可能。
较低的部署门槛:FP16 半精度下,ChatGLM-6B 需要至少 13GB 的显存进行推理,结合模型量化技术,这一需求可以进一步降低到 10GB(INT8)和 6GB(INT4),使得 ChatGLM-6B 可以部署在消费级显卡上。
更长的序列长度:相比 GLM-10B(序列长度1024),ChatGLM-6B 序列长度达 2048,支持更长对话和应用。
人类意图对齐训练:使用了监督微调(Supervised Fine-Tuning)、反馈自助(Feedback Bootstrap)、人类反馈强化学习(Reinforcement Learning from Human Feedback) 等方式,使模型初具理解人类指令意图的能力。输出格式为 markdown,方便展示。
因此,ChatGLM-6B 具备了一定条件下较好的对话与问答能力。ChatGLM-6B 也有相当多已知的局限和不足:
模型容量较小:6B 的小容量,决定了其相对较弱的模型记忆和语言能力。在面对许多事实性知识任务时,ChatGLM-6B 可能会生成不正确的信息;她也不擅长逻辑类问题(如数学、编程)的解答。
可能会产生有害说明或有偏见的内容:ChatGLM-6B 只是一个初步与人类意图对齐的语言模型,可能会生成有害、有偏见的内容。
较弱的多轮对话能力:ChatGLM-6B 的上下文理解能力还不够充分,在面对长答案生成,以及多轮对话的场景时,可能会出现上下文丢失和理解错误的情况。
英文能力不足:训练时使用的指示大部分都是中文的,只有一小部分指示是英文的。因此在使用英文指示时,回复的质量可能不如中文指示的回复,甚至与中文指示下的回复矛盾。
易被误导:ChatGLM-6B 的“自我认知”可能存在问题,很容易被误导并产生错误的言论。例如当前版本模型在被误导的情况下,会在自我认知上发生偏差。即使该模型经过了 1 万亿标识符(token)左右的双语预训练,并且进行了指令微调和人类反馈强化学习(RLHF),但是因为模型容量较小,所以在某些指示下可能会产生有误导性的内容。
小结
到这里还是低估了工作量,写吐了,谷歌系列的几个工作,还是得单独一篇才能完结。与 OpenAI 的工作类似,谷歌同样产出了对标 GPT-3 和 InstructGPT 之类的模型,也包括了 T5 系列的 Encoder-Decoder 结构的大语言模型,而且并不是简单的 Follow。
另一方面 3、4 月份,广大的开源工作者们也是百花齐放,在类 ChatGPT 的应用方向做出了很多探索工作,包括训练数据、模型、以及训练方法的探索与开源。在训练效率方向上,也出现了 ChatGLM+Lora、LLama+Lora 等进一步降低训练成本的工作。
这部分的内容也将在后面进行总结式的介绍和更新,也期待在这段时间里有更多优秀的工作诞生。对于文章中内容中的不正之处,也欢迎指正交流~。
参考文献
文章参考了诸多论文、博客以及“跟李沐学AI”关于一些相关论文的介绍,部分内容和插图参考链接如下。
1. https://crfm.stanford.edu/2023/03/13/alpaca.html
2. https://chatglm.cn/blog
3. https://crfm.stanford.edu/2023/03/13/alpaca.html
4. https://space.bilibili.com/1567748478/channel/collectiondetail?sid=32744
5. A Survey of Large Language Models:https://arxiv.org/pdf/2303.18223.pdf
本文链接:https://shikelang.cc/post/367.html
快速制作PPT微信chatgpt会员chatgpt写作文chatgpt能安装在哪些软件怎么用chatgpt给英文论文降重聊天机器人利用chatGPT学习人力资源用chatgpt做的3d游戏ChatGPT充值















































网友评论